"Most viewed" Articles are from the articles published in 2023 during the last six month.
|
|
· Intussusception, the most common cause of small bowel obstruction in young children, has an overall incidence in Korea of 28.3 cases per 100,000 person-years. · Its cause is idiopathic inmost cases, although viral or bacterial gastroenteritis has beenpostulated as a cause. Approximately 4% of children have pathological lead points for intussusception, and Meckel’s diverticulum is the most common cause. · Intussusception in preterm infants is extremely rare. Older children (>5 years of age) are at increased risk of pathological lead points. |
|
|
With advancements in neonatal intensive care, the limit of viability has shifted to 22–23 weeks' gestation, whose survival rates vary across countries and institutions. These rates are not static and can be improved through the proactive and centralized care guided by national protocols, including maternal transfer to high-activity regions with better neonatal intensive care practices before delivery. |
|
|
An accurate diagnosis depends on correct history taking and its interpretation. An in-depth understanding of the symptoms of syncope in connection with its pathophysiology can lead to avoiding critical pitfalls in the diagnostic process of history taking. |
|
|
Question: Is vitamin E a viable therapeutic option for managing neonatal hyperbilirubinemia? Finding: This randomized clinical trial examined the effects of oral vitamin E supplementation on bilirubin reduction (primary outcome), phototherapy duration, and length of hospital stay (secondary outcome) in 138 infants. Meaning: Infants administered vitamin E versus placebo demonstrated similar reductions in bilirubin levels and length of hospital stay. |
|
|
· Congenital hearing loss is common, with an approximate incidence of 1.5 per 1,000 newborns and affecting 1.2%–11% of preterm and 1.6%–13.7% of neonatal intensive care unit neonates. · Etiologies vary, and up to 80% of cases are genetic. · Newborn hearing screenings follow the 1-3-6 rule, and babies at high risk of hearing loss should be referred to otolaryngology for early detection and timely intervention. |
|
|
|
|
Question: Does treating iron deficiency (ID) using intravenous iron in pediatric inflammatory bowel disease (IBD) feature long-term safety and efficacy? Finding: Intravenous iron supplementation was safe and effective. However, the ID recurrence rate was higher than expected. Meaning: Proactive screening and treatment of ID in pediatric IBD are essential. The Ganzoni formula likely underestimates the iron requirements of pediatric patients. Prospective trials are needed to optimize iron treatment dosing. |
|
|
· Pediatric heart failure (PHF) is a clinical syndrome featuring various symptoms (shortness of breath, ankle swelling, fatigue) and signs (pulmonary crackles, peripheral edema). · Congenital heart diseases are the most common underlying etiology of PHF, whereas myocarditis and primary cardio-myopathies are common in children without structural ab-normalities. · PHF pathophysiology is complex and multifactorial and varies by etiology and age. · PHF management includes decongestive therapy, treatment of underlying causes, preventing progression, and managing pulmonary or systemic obstructions. · Drugs should be chosen based on pharmacodynamics, clinical manifestations, hemodynamic state, and renal function. |
|
|
Universal newborn screening for severe combined immunodeficiency (SCID) demonstrates robust cost-effectiveness across diverse high-income healthcare systems, both from healthcare and societal standpoints. Early detection yields substantial savings. While uncertainties persist, impacting precise cost-effectiveness, the overall finding is positive. Future research must prioritize enhanced data collection and statistical rigor to refine our understanding of SCID's economic impact within the Australian context. |
|
|
· Congenital cytomegalovirus (CMV) infection is among the most common causes of nongenetic sensorineural hearing loss. · Congenital CMV is initially treated with intravenous ganciclovir for 2–6 weeks and switched to oral valganciclovir, or with oral valganciclovir for the entire 6-month period. · Infants with congenital CMV require periodic monitoring of absolute neutrophil count, platelet count, and blood urea nitrogen, creatinine, liver function tests, audiological, ophthalmological, and developmental tests during antiviral medication. |
|
|
Voxelotor has promising ability to increase hemoglobin levels and reduce hemolysis markers in patients with sickle cell disease (SCD). Several preclinical and phase II/III trials have demonstrated its efficacy, dose-dependent responses, and tolerability in children. Ongoing trials are assessing its safety and effectiveness in various populations, including children younger than 12 years. These findings suggest its potential as a disease-modifying drug, warranting further exploration of its role in SCD management. |
|
|
Question: Does consolidative allogeneic stem cell transplantation (allo-SCT) after chimeric antigen receptor (CAR) T-cell therapy improve outcomes of children and young adult patients with relapsed/refractory hematologic malignancies? Finding: The meta-analysis showed reduced relapse rates and favorable survival trends with allo-SCT despite low evidence quality. Meaning: Consolidative allo-SCT after CAR T-cell therapy may enhance survival; however, further clinical studies are needed. |
|
|
Question: What is the burden of neural tube defects (NTDs) in a tertiary care neonatal intensive care unit in Bangladesh? Finding: The overall incidence of NTD was 6.4 (range, 4.59–11.2) per 1,000 live births, and the meningomyelocele complex was the most frequent location. Meaning: The high incidence of NTD found in a leading tertiary care multidisciplinary referral hospital in Bangladesh may not reflect that of the wider population. |
|
|
Question: Does a respiratory severity score (RSS)-guided postnatal corticosteroid protocol improve respiratory outcomes of extremely preterm (EP) infants without worsening neurodevelopmental outcomes? Finding: The protocol enabled targeted and early steroid use, thereby reducing severe bronchopulmonary dysplasia without affecting mortality or causing neurodevelopmental impairments. Meaning: The RSS-guided protocol may offer a more precise and individualized postnatal corticosteroid therapy for EP infants. |
|
|
Question: Can pediatric autoimmune hemolytic anemia (AIHA) be effectively managed using first-line steroids? Finding: In this single-center study, pediatric patients with AIHA achieved normal hemoglobin levels within 16.5 days (range, 9.0–22.0 days) of first-line steroid treatment and maintained effective responses for 2 months. Meaning: These outcomes highlight the efficacy of steroid treatment in pediatric versus adult AIHA and underscore the need for multicenter trials to establish standardized treatment guidelines. |
|
|
· Chronic liver diseases in children are heterogenous but converge in the common pathway of fibrosis. · Much of the literature on mechanisms of fibrogenesis focus on adults but pediatric physiology has documented differences. · Understanding of these distinctions are necessary to define, treat, and prevent fibrosis. · Current management of liver fibrosis relies heavily on liver biopsy. Multiple tools have shown high diagnostic performance in pediatric and adult populations. Large, multicenter studies are needed for validation. |
|
|
Question: Are pediatric patients with heart disease who are receiving diuretics at risk of thiamin deficiency (TD)? Finding: Fifteen percent of the patients had TD. TD was associated with inadequate dietary thiamin intake and increasing age. Meaning: The thiamin pyrophosphate effect should be assessed in those with high risk of TD. Dietary counseling should be emphasized to ensure adequate dietary thiamin intake. |
|
|
Question: What are the key challenges affecting pediatric cardiologists and cardiac surgeons in Korea? Finding: Excessive workloads, low procedural volumes, and legal risks contribute to high burnout. Regional disparities limit skill maintenance and threaten workforce sustainability. Meaning: Targeted policies ensuring fair workloads, legal protections, and regional support are essential to stabilizing the pediatric cardiac workforce and maintaining high-quality care. |
|
|
· Artificial intelligence (AI) holds transformative potential for pediatric healthcare, with applications spanning prevention, diagnosis, treatment, and follow-up across diverse subspecialties; however, ethical concerns, scarcity of pediatric- specific data, and limited funding remain significant challenges. · International consensus on pediatric AI guidelines, expanding child-specific datasets, and incorporating explainable AI are essential to ensure safety and trust. · Multicenter collaboration and increased investment can address these gaps, enabling equitable, reliable, and pediatric- centered AI solutions. |
|
|
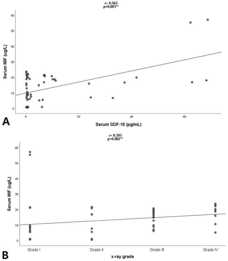
Question: Do macrophage migration-inhibitory factor (MIF) and growth differentiation factor-15 (GDF-15) levels and their gene polymorphisms affect RDS among preterm babies? Finding: Significantly higher serum MIF and GDF-15 levels were observed in patients with severe respiratory distress syndrome (RDS). The mutant G- and C-alleles of GDF-15 rs4808793 C>G single nucleotide polymorphism (SNP) and MIF rs755622 G>C SNP were present at significantly higher frequencies in preterm neonates with RDS. Meaning: MIF and GDF-15 play a significant role in neonatal RDS and its severity. |
|
|
· We suggest offering long-term macrolides to children with noncystic fibrosis bronchiectasis with frequent exacerbations (conditional recommendation, moderate quality of evidence). · We do not recommend the routine use of mucolytic agents, inhaled corticosteroids, or nonsteroidal anti-inflammatory drugs to prevent exacerbation of bronchiectasis in children (inconclusive, very low quality of evidence). · We recommend the use of nebulized hypertonic saline to prevent exacerbations and improve the lung function of children with noncystic fibrosis bronchiectasis (weak recommendation, moderate quality of evidence). |
|
|
|
|
A positive bidirectional relationship between gastrointestinal disorders and anxiety, but with no clear aetiology, was identified. Factors such as somatisation and pain catastrophising resulted in poorer pain-related outcomes in children. Further studies are required to understand this relationship in order to have targeted treatments and ensure better long term outcomes. |
|
|
· Iron deficiency has important effects on neurodevelopment and the immune system in children. · Hepcidine plays an important role in iron homeostasis. · Diagnosis and treatment of iron deficiency in chronic inflammatory disease are important for patients' quality of life and disease course. |
|
|
Question: Vasovagal syncope (VVS) and postural orthostatic tachycardia syndrome (POTS) are representative forms of neurally mediated syncope. What influences the occurrence of each? Finding: Autonomic function test results did not differ, but cerebral blood flow during diastole on transcranial doppler differed between VVS and POTS. Meaning: Differences in diastolic cerebral blood flow velocity play an important role in VVS and POTS. |
|
|
Question: What are the outcomes of jaundiced neonates when phototherapy is discontinued at 2 different total serum bilirubin (TSB) thresholds? Findings: The study involved 80 neonates, comparing a recommended TSB threshold and a lower threshold for phototherapy discontinuation. Results showed a 14.3% reinstitution rate of treatment, with no adverse outcomes. Meaning: Careful posttreatment monitoring is essential when discontinuing phototherapy, and future research should consider updated guidelines like those from the American Academy of Pediatrics. |
|
|
· Orphan disease is a rare disease, primarily affecting newborn and children. Vast majority of orphan diseases has genetic background. · Orphan disease is individually rare. But as a whole, it is not rare, becoming a great socioeconomic burden. · The diagnosis of rare genetic disease has been problematic, but recent progress of genome analysis technologies makes it faster and more precise. · There are many unmet needs as to the curative treatment. However, the number of treatable rare diseases is growingly increasing owing to the development of biotechnology. · Most orphan drugs are extremely expensive because of numer ous hurdles during the process of drug development as well as small number of patients. |
|
|
Myopia is a growing global public health concern because of its association with irreversible vision loss such as myopic traction maculopathy, rhegmatogenous retinal detachment, and glaucoma. The effective prevention of myopia in childhood requires a multidisciplinary approach that integrates ophthalmologic care with lifestyle, nutrition, and sleep interventions. Early detection through regular visual screening in schools and primary care settings and timely ophthalmology referrals are critical to preventing high myopia. |
|
|
· This study analyzed 45 randomized controlled trials (5,061 participants, 13 interventions) of the comparative efficacies of treatments for acute bronchiolitis in infants. · Inhalation therapy with epinephrine and hypertonic saline significantly reduced the length of hospital stay compared with normal saline. · Hypertonic saline had the greatest ability to improve the clinical severity score of bronchiolitis in infants younger than 2 years of age. |
|
|
Question: Can sigh breaths (Sighs) application during high-frequency oscillatory ventilation (HFOV) decrease partial pressure of carbon dioxide (PaCO2) levels? Finding: The mean PaCO2 level after Sighs during HFOV was significantly decreased compared to that after HFOV alone (mean difference, -3.6 mmHg). Meaning: HFOV plus Sighs functionality can reduce PaCO2 levels. However, further studies are required to conclusively determine the effects of Sighs. |
Clinical and Experimental Pediatrics is an open access journal. All articles are distributed under the terms of the Creative Commons Attribution NonCommercial License (http://creativecommons.org/licenses/by-nc/4.0/)
Copyright © 2025 by Korean Pediatric Society.





